薄膜电阻与厚膜电阻有何差异?本文一次给你讲透!
薄膜电阻与厚膜电阻的共同特征在于,通过在耐热基板的表面,涂覆一层薄膜状的电阻材料而形成的电阻元件。薄膜与厚膜最直观的差异就是这层“膜”(导电层)的厚度。厚膜电阻膜的厚度可以是薄膜电阻的上千倍。
但是单单理解到 “膜”(导电层)的厚度的差异,在我们在设计电路以及选择电阻时,依旧不知道该怎么下手。今天就从三个方面:精度与功率、电流噪声、温度系数,来把薄膜电阻&厚膜电阻的差异给讲透。
精度与功率上的差异
概括来说:
● 薄膜,主要针对精度而设计。
● 厚膜,主要针对功率而设计。
图1:薄膜电阻与厚膜电阻,在半透明外壳下呈现的图案
薄膜电阻是用真空法淀积导电层,称为溅镀。这在陶瓷基板上形成一个薄而均匀的层,只有几微米厚。然后,该层将经历光刻或激光蚀刻的过程。这决定了电阻值的精确度,容差极为精细,可低至0.01%。这样的精度才使薄膜电阻如此有用。
厚膜电阻的导电层以浆的形式印制在陶瓷基板上。其厚度可以是薄膜电阻导电层的上千倍。这样的厚度在处理高功率应用时具有性能优势,而且制造成本也明显低于薄膜电阻。然而,它在功率方面的优势却也使得其可预测性和精确性降低,容差可能高达 5%。
然后随着薄膜电阻的发展,现在薄膜电阻与厚膜电阻功率上的差距,越来越小,这折射出薄膜电阻的性能改进。
举个例子:TE的RN73系列的0805型电阻,根据数据手册,其额定功率为 0.1W(RN73系列数据手册)。
TE的新款RP73P系列的0805型电阻,根据数据手册,其额定功率可以达到0.25WC RP73P 系列数据手册)。
电流噪声上的差异
电流噪声是我们不希望的宽频谱信号,可以叠加在任何有用的信号上,包括DC直流信号。与其他无源元件一样,电阻也是不同程度的噪声源,具体取决于电阻值、温度、施加电压和电阻类型。
概括来说:薄膜电阻比厚膜电阻在电流噪声上更有优势。
01 薄膜电阻与厚膜电阻的电流噪声比较
下面我们以Yageo RC电阻举例,从微观结构角度上,更好的说明了薄膜电阻与厚膜电阻,在电流噪声上的区别。
图2:薄膜电阻和厚膜电阻结构的差异(图片来源:Yageo)
对于薄膜电阻,如上图所示,从薄膜电阻的电阻层的微观结构来看,只有金属颗粒堆叠在一起形成精细的金属膜。当电子在导电金属层中移动时,它们可以从一个或多个导电晶格转移到另一个晶格,并在没有任何阻碍的情况下形成电流,这有助于防止噪声产生。
对于厚膜电阻,如上图所示,电阻层的材料由金属和玻璃材料制成。玻璃材料是不导电的,所以电子不能穿过玻璃颗粒。电流的方向因这些玻璃颗粒而改变,并成为电流噪声的来源。
02 薄膜电阻和厚膜电阻的噪声测量结果
下图是薄膜电阻和厚膜电阻的噪声测量结果(数据来源于Yageo)。在不同频率的噪声水平下,薄膜电阻比厚膜电阻有更低的电流噪声。
图3:薄膜电阻和厚膜电阻的噪声差异(图片来源:Yageo)
对于一些音频放大电路,薄膜电阻的低电流噪声特性是的一个比较理想的方案,因为这类电路需要较低的失真,才能达到较高的音质。
更多内容请参考:Vishay:高端音频应用选择电阻
小贴士:不同电阻的成分差异
碳膜电阻的尺寸通常较大,功率较小,公差较大,温度系数也大,另外在高温下会产生噪音。从好的方面来说,它们比大多数电阻便宜,而且通常在更高的频率下表现得很好。
陶瓷电阻具有较高的温度系数,中等工作温度范围,通常比大多数电阻昂贵。
金属元素电阻常用于电流传感中。它们精度高,阻值和公差都比较低。
金属薄膜电阻具有良好的温度稳定性,低噪音,阻值范围宽、公差小。
金属氧化物薄膜电阻跟金属薄膜电阻非常相似,但它们能更有效地承受浪涌电流,并承受更高的温度等级。
厚膜电阻具有噪声、浪涌容限低、温度稳定性好、额定电压高的特点。它们具有多种阻值。
薄膜电阻具有低噪声、高寿命稳定性、低温度系数和高阻值等特点。
绕线电阻适用于大功率、大电流应用场合。另一方面,它们噪音高,电阻值低。无感选项也可用。
如果您正在寻找最广泛的阻值范围,厚膜或薄膜电阻将是您的最佳选择。如果是高功率应用场景,薄膜和厚膜电阻值得考虑。
更多与小贴士相关的内容,可参见:电阻的成分差异
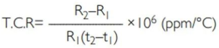
温度系数TCR上的差异
与任何电路一样,电阻的特性也会随温度而变化,因此温度的任何变化均会影响性能。所有电阻均会将不需要的电能转化为热量;所有电阻也都具有电阻温度系数 (TCR),用来描述电阻如何随温度的变化而变化。
01 什么是温度系数TCR?
电阻的温度系数,阐述了观察到的阻值如何随电阻温度的变化而变化。温度系数通常以ppm(百万分之一)每摄氏度为单位给出,与使用%/°C的单位相比,这节省了大量小数点后的零。数值可能是正的,也可能是负的,分别表示与温度的正相关或负相关。这是一个总结数字,通常以范围或限制最大值的形式给出,而实际电阻阻值不一定会线性变化。
计算公式:
t1= +25 °C或特定室温
t2= –55 °C 或 +125 °C测试问题
R1=参考温度下的阻值
R2=测试温度下的阻值
概括来说:薄膜比厚膜电阻在温度系数TCR上更有优势。
02 薄膜电阻与厚膜电阻温度系数TCR比较
薄膜工艺制造的元件具有非常稳定的电阻,电阻随温度变化很小。与厚膜电阻的印刷工艺相比,通过溅镀的金属电阻层允许薄膜电阻具有低TCR。
此外,由于薄膜电阻层和厚膜电阻层的成分之间的固有差异,薄膜电阻的电流噪声也低于厚膜电阻。
我们以Yageo的RT系列薄膜电阻以及RC系列厚膜电阻举例:
● RC0805,厚膜,0805,TCR的范围±100ppm/℃到±300ppm/℃(RC0805数据手册)。
● RT0805,薄膜,0805,TCR的范围±5ppm/℃到±50ppm/℃(RT0805数据手册)。
图5 :Yageo薄膜电阻与厚膜电阻的TCR比较(图片来源:Yageo)
更多内容请参考:Yageo:高精度薄膜电阻在低电流噪声中的应用
Digi-Key薄膜&厚膜电阻产品
Digi-Key网站有不同品牌的薄膜电阻与厚膜电阻,提供丰富的参数筛选项,如成分,温度系数等各种参数。工程师可以根据应用要求和参数来挑选合适的电阻。详情可参见Digi-Key表面安装电阻。
图6:Digi-Key网站提供丰富的参数筛选项
本文小结
新材料和制造工艺的改进,让制造商能够在不牺牲精度的同时,提高薄膜电阻的能力。尽管厚膜电阻在大规模生产应用以及功率至关重要的应用中,始终占有一席之地,但随着薄膜技术的进步,设计人员能够在更广泛的应用中获得更精确可靠的结果。
