1GHz以下频带短距离无线系统设计要点
中心议题:
- SRD无线系统设计时频率的选择
- 跳频系统对频带的扩展
- 宽频调变对频带的扩展
- 各系统通信协议的选择
Bluetooth、WLAN、ZigBee等短距离无线技术之装置(SRD)日益增加,本文将锁定使用全球不需执照授权的1GHz以下频带进行详细介绍,并分析跳频展频(FHSS)、直接展频(DSSS)等不同宽带调变技术,以及各国相关现行做法,提供1GHz以下频带无线系统设计者最佳开发导览。
SRD无线系统设计需考虑频率选择
短距离装置(SRD)此一名称所涵盖的,是能够提供单向或双向通讯,且几乎不会对其他无线电设备造成干扰的各类无线电发射器。我们很难将所有SRD的应用完整列出,因为它们提供了太多不同的服务,其中较为受欢迎的应用包括有:
家庭遥距控制(Telecontrolforhome),或是其它建筑物自动化系统
无线感测系统
警报器
汽车,包括遥控免钥匙门禁与遥控汽车启动
无线语音及视讯
SRD无线系统的设计者在选择无线通信频率上需要格外小心。在大多数的情况下,此选择被侷限于频谱中容许免执照使用的那些部份,而前提是必须符合使用上的特定规格与条件。表一所列为全球可使用的频带。
全球频率分配

表一.全球SRD频率分配
2.4GHz频带被设计者普遍使用来建构能够全球使用的各种系统,事实上,该频道已经成为Bluetooth、WLAN及ZigBee等标准的不二选择。5.8GHz的频带也已吸引不少的注意,举例来说,像是无线电话或是WLAN的802.11a版本等。
然而,对于同时需要较大范围及较低功耗的系统而言,低于1GHz的频带由于其较低的共存性(co-existence)问题与较大的传送范围,仍是有其必要性的,因为此两者都会影响到功耗,而功耗对于以电池供电的应用而言是一个非常重要的考量。
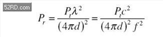
低频发射器传送范围的改善,可以用简化版的Friis传输方程式来表示,此方程式提供了接收天线上存在的功率Pr与供给发射天线的功率Pt两者之间的关系:

此方程式中假设两支天线有一致的增益,它可显示出,对于一固定的发射功率Pt而言,接收到的功率会随着距离d的平方,以及频率f的平方而降低(或是随着波长λ的平方而增加)。当接收的功率低于能正确解调变信号所须的最小功率(即所谓的灵敏度点:sensitivitypoint)时,连结便会崩溃。
全球低于1GHz的频率分配
表II中提供了各种低于1GHz标准的更多细节说明,这并不是一个最完整的列表,如需要更多的细节,可从表中所提供的网路连结去取得。

表二.有些共通区域的SRD频带
12345下一页> 关键字:  本文链接:http://www.cntronics.com/public/art/artinfo/id/80005711
433MHz是全球皆可使用的选项之一,唯一的例外是在日本需要些微的频率更改(大部份新款且具频率弹性的发射接收器:Transceiver,都可以轻易处理此问题)。但由于频宽只有2MHz,通常来说是无法在此频带上实现语音、视讯、音讯、及连续性资料传送等应用,因此也限制了它的用途。大致上来说,此频带最常被使用于免钥匙门禁系统及基本遥距控制上。
868MHz(欧洲)及902MH~928MHz(美国)附近的频带就好用许多,它们不会被侷限在特定的应用中,也容许採用较小的天线。其它的地区如澳洲及加拿大等,则採用了这些规格的不同版本,因此让此频带虽具有多区化特性,但未达到完全全球化的程度。
不过,在最近的EN300220规格出现之前,美国与欧洲的组织採用了相当不同的作法。美国採用的是跳频(frequency-hopping)的方式,而欧洲则是如同其ERCREC-70文件中所载明的一般,在每一个次频带(sub-band)中加上工作週期(duty-cycle)的限制。这两种作法在降低干扰上都能有其效用,但对于必须为此两大地区设计出共通系统的制造商来说,就得完全重写系统通信协定中的媒体存取层(MAC)。
幸好最新的欧洲EN300229规章(于2006年年中发佈)已将频带加以延展,以便能容许跳频展频(frequency-hoppingspread-spectrum,FHSS)或直接序列展频(direct-sequencespread-spectrum,DSSS)。这让MAC的作法与针对美国的设计较为相似,虽然某些微调仍是必要的。以下将说明此新规格的某些部份,这些部份是SRD系统设计者所必须考虑到的。
跳频系统
跳频展频(FHSS)发射技术是藉由将频谱切割为一定数量的频道,以便把时域中的能量加以分散,并在这些频道之间依虚拟随机(pseudorandom)顺序进行跳跃,或是称之为跳码(hoppingcode),这是接收机与发射机中所为人熟悉的。为了迎接新加入网路中的节点(node),控制节点会週期性的送出一标识(beacon)信号,让新加入的节点能与其进行同步,同步所须时间会依标识期间长度及跳跃的频道的数量而定。美国与欧洲标准都制订了相似数量的跳跃频道,以及400ms的最大停留(dwell)时间(在任何单一跳跃期间内,于某一特定频率上所花费的时间)。
如表三所示,为使用FHSS时,欧洲的扩展频带上(低于870MHz)所需要的频道数量、有效发射功率(ERP)、及工作週期。当符合"说前先听(listen-before-talk,LBT)"或是工作週期有效率限制值时,便可有高达7MHz的频宽可供使用,以往则只有2MHz的范围。

表三.欧洲频道需求

图一.ADF7020SRD传送接收器的方块图
"说前先听"此一"礼貌"通信协定在启始一传送之前,会先"扫描"频道上的活动。这种也被称为"干净频道评价"(cleanchannelassessment,CCA)的协定,与频率跳跃的共用可以让系统没有工作週期上的限制。
<上一页12345下一页> 关键字:  本文链接:http://www.cntronics.com/public/art/artinfo/id/80005711?page=2
宽频调变:DSSS
除了FHSS,直接展频(DSSS)也被新的欧洲法令所纳入,在DSSS系统中,窄带的信号被乘上一高速虚拟乱数(PRN)序列,以产生出展频信号。每一个PRN脉冲称为一个"chip",而序列的速率则是叫作"chiprate"。至于原始窄带信号所能展开的程度,则是称之为处理增益(processinggain),此为chiprate(RC)对窄带资料符号率(narrowbanddatasymbolrate)的比值。图二所示为FHSS与DSSS的比较。

图二.FHSS与DSSS的频谱
在接收器端,送入的展频信号被乘上同样的PRN码,以进行信号的反展频(de-spread)处理,将原始的窄带信号撷取出来。于此同时,接收器中任何的窄带干扰源会被展开,而以宽带杂讯的型态呈现在解调变器上。由于系统中的每一个使用者所分配到的PRN码不同,因此能够将共用同一频带的使用者之间加以隔离,这就是所谓的CDMA(code-divisionmultipleaccess)。
使用DSSS调变的一些系统例子,包括了IEEE802.15.4(WPAN)、IEEE802.11(WLAN)、及GPS等。DSSS的主要优点为:
1)干扰弹回(interferenceresilience)-DSSS的干扰抗拒能力,实质上是来自于将有用的信号乘上两次(展开与反展开)PRN码,
而任何的干扰源则只乘上一次(展开)。
2)低功率频谱密度(spectraldensity)-利用窄带系统将导入的干扰最小化。
3)安全性–由于採用展开/反展开处理,对于拥塞(jamming)有非常好的抵抗能力。
4)能减轻多通道效应。
DSSS或FHSS以外的宽带调变
新的欧洲法令中一个有趣的点,在于它们也提供FHSS及DSSS以外的其它宽带展频调变技术。像是具有超过200kHz频宽的FSK/GFSK(Gaussianfrequencyshiftkeying)调变,便是欧洲法令下的宽频调变。表IV为适用于欧洲宽带调变架构的主要规格(包括DSSS):

表四.展频调变(除了FHSS以外)与宽带调变的最大发射功率密度、带宽及工作週期限制
ISM带发射接收器IC如ADF7025,便是一个能够充份利用到此宽带标准中使用FSK调变所带来的好处之产品。为了要能动作于865MHz到870MHz的次频带,设计上就必须符合最大佔用带宽(99%)及最大功率密度限制。此外,频道边缘(edge-of-channel)或频带边缘的最大功率限制也被设定在-36dBm。
如果将ADF7025依表五来予以设定,则可全部符合这三个限制。如图五所示,佔用带宽为1.7569MHz,而峰值频谱密度则是-1.41dBm/100kHz。

表五.ADF7025于宽带调变实验时的参数
<上一页12345下一页> 关键字:  本文链接:http://www.cntronics.com/public/art/artinfo/id/80005711?page=3
ADF7025由于使用了宽带调变,有能力实现高资料率(在此情形下为384kbps),因此可以在次1-GHz的欧洲ISM频带中传送音讯及媒体品质视讯(每秒数个图框)。
美国法令(FCCpart15.247)与欧洲有类似的分配方式,提供了运作于902MHz到928MHz、2400MHz到2483.5MHz、以及5725MHz到5850MHz频带的跳频系统,但也同时提供"数位调变"信号。这是同时涵盖了展频(DSSS)与其它较简单型态调变方式(如FSK、GFSK等)的一个很松散的说法,因此和欧洲法令中的"宽带调变"规格颇为相似。其最主要的要求为:
1.最小6-dB带宽应至少为500kHz。
2.对于数位调变系统而言,在任何连续传送时间间隔中的任意3k-Hz频带上,从发射端到天线所传导的功率频谱密度不可超过8dBm。
任何希望使用FHSS以外系统的人,通常都需要将场强度(fieldstrength)限制在50mV/m(-1.5dBmERP)。但在数位调变的场合中,只要能符合最大功率频谱密度限制,则最大输出功率为1W。因此,在使用ADF7025时,由于其FSK频率偏差宽度足以确保6dB带宽能够大于500kHz,因此可容许1W的ERP。此外,由于有宽信号带宽,还可实现较高的资料率(ADF7025的最大值为384kbps)。
ADF7025的共同频道排斥(co-channelrejection)会根据干扰源的带宽,在共同频道上从-2dB(最差状况)变化到+24dB。这可以拿来与具有-4dB共同频道排斥值的商用802.15.4DSSS发射接收器相比,使用的是拥塞信号(jammingsignal)为IEEE802.15.4的调变信号。
使用上述方法,就可以在美国与欧洲使用相似的宽带调变系统,并简化出货到全球市场产品的开发工作。ADF7025传输接收器架构可支援美国所定义的"数位调变"模式,与在欧洲所定义的"宽带调变"模式。

图三.ADF7025的宽带调变实验结果:(a)FSK调变信号,99%佔用带宽量测;(b)前项的局部放大,以量测最大功率频谱密度。
暂态(transient)功率需求
工程人员也需要了解到欧洲法令中,一项加诸在暂态功率上的限制新规格,也就是当发射器在正常运作中开关时,落入临近频谱的功率。将此限制加入最新法令中的目的,是要避免频谱飞散(spectralsplatter)。
当送入功率放大(PA)的电流增大(开启)或减小(关闭)时,从电压控制震盪器(OSC)所看到的负载会随之改变。这会在迴路试图重新取得锁住时,造成PLL短暂的开锁(unlock),并产生混附发射(spuriousemissions)或频谱飞散。对于只在间隔时间内传送一个单位的系统中,频谱飞散会明显增加落入临近频道的功率。
图四加强说明了频谱飞散的问题,其中黄色的轨迹线表示当PA以每次100ms的速度开关,而频谱分析仪维持在最大保持(maximumhold)设定时,ADF7020发射器的PA输出频谱。可以很清楚的看出来,有明显的功率会落入载波(carrier)两边的频道中。蓝色的轨迹线则是以每100ms64阶的速率被提升与拉下的PA输出,表示出落入临近频道的功率有相当程度的下降。最新的EN300220法令中的规格8.5,便针对落入临近频道功率制定限制值。

图四.本文中所叙述的测试所得到的ADF7020输出频谱
<上一页12345下一页> 关键字:  本文链接:http://www.cntronics.com/public/art/artinfo/id/80005711?page=4
量测程序要求发射器需要在最大输出功率的情况下开关5次,并分别量测落入载波两侧的第二阶、第四阶、及第十阶频道。
要确保能符合此规格的最简单方式,是将PA逐渐的从关拉到开、或是从开拉到关。这通常是利用微控制器以分阶方式开关PA来完成的。透过ADF7020发射接收器,可以将PA从关的状态经过最多63阶的控制调整到+14dBm。另一个较快及较简单的方法,是使用具有自动PA上下控制的传送接收器。ADF7021便具有可编程的上下控制,让使用者可以设定步阶的数量及每一个步阶的期间。
通讯协定考量
ADI目前正在更新其ADIismLINK(2.0版)协定软体,这套软体可适用于任何的ADF702x传送接收器。此一针对全球次1-GHz频带使用而设计的协定,採用了新版的欧洲法令,并以图5中所示的星状网路(高达255个端点)为其基础。

图五.星状网路拓朴
在协定的中心,为一无槽式(nonslotted)、非持续(nonpersistent)的"载波感测多重存取-冲突防止"(CSMA-CA),端点(EP)会在传送前先聆听该频道(LBT)以防止冲突。
此协定的"无槽式"观念,让EP们先执行lBT动作,其后只要有资料就可以立刻传送,此作法也确保不需要同步动作。如果EP感测到该频道正处于忙碌状态,就会在执行下一个LBT之前等候(back-off)一不定时间。此等候动作的发生次数是有限制的,因此此协定具有非持续的特性。在FHSS模式下,此协定会在每一个跳跃频道上使用这个CSMA-CA系统,所以能满足新欧洲法令的LBT要求。
ADIismLINK协定的实体层(PHY)与媒体存取层(MAC)参数具有相当高的设定弹性,因此能容许完整的装置与系统评估。此外,ADI也提供相关原始码,以简化系统开发的步骤。此协定是随ADF702x开发套件(ADF70xxMB2)共同出货,图六所示为ADIismLINK的系统总览。

图六.ADIismLINK系统总览
新的欧洲法令对于863MHz到870MHz之间频带的空中传递(over-the-air)协定加入了非常明细的要求。不论系统是使用单频道协定、FHSS或DSSS,都有需要遵守的特定规定。此改变必然会让协定设计复杂化,但这些新ETSI法令的好处是在许多方面与FCCPart15.247相似,因而得以简化针对多区域使用的协定设计。而善用如ADI所提供之开发套件(内含协定范例),将能减轻短距无线网路设计之负担。
<上一页12345 关键字:  本文链接:http://www.cntronics.com/public/art/artinfo/id/80005711?page=5
