新一代硅芯片温度传感器准确度到底有多高,你晓得吗?
品慧电子讯电子行业对精度的要求越来越高,温度检测也不例外。目前市面上有许多温度检测解决方案,每一种都有其优缺点。硅芯片温度传感器,线性度相对较高,而且精度远超其他解决方案。但是,硅芯片温度检测领域的最新进展意味着,使用硅芯片解决方案将可以实现高分辨率和高精度。
新冰箱
那时正是2020年3月,英国即将进入封锁状态。全球都在囤积食物,以防超市关门,而未来似乎充满不确定。就在这种时 候,Bramble家的冰箱罢工了。满脑子都回响着Kenny Rogers单曲"露西尔"中的歌词"你怎么选择在这样一个时刻离开我",我们开始在网上搜索新的替代品。
几天后,新冰箱送来了,前面板上有数字温度显示,完全符合Bramble太太的需求。建议的设置温度为-18°C,一个小时后,冰箱达到了所需的温度,可以开始存放食物了。我有点怀疑温度读数的准确性,但只要能够冷冻食物,我对此也不太在意。但问题是:我是一名工程师,有一颗热衷探索的心,在连续几天面对新冰箱毫无变化的数字读数后,我崩溃了。我必须测试一下这件新电器的精度。
温度传感器
工业应用中使用的温度传感器种类繁多,各有其优缺点。鉴于有许多文本详细介绍了各种温度传感器的操作,我不再赘述,只是提供一些总结。
热电偶
热电偶提供了一种低成本、中等精度的高温测量方案。正如Thomas Seebeck在1821年发现的那样,它们基于两个结点之间产生的电压,每个结点都由不同的金属构成,放置于不同温度环境下。对于K型热电偶(由镍铬合金和镍铝金合金制成)来说,它输出约41 μV/°C的电压,可用于测量超过1000°C的温度。但是,塞贝克效应依赖于两个结点之间的温度差,因此,在热端测量相关温度时,冷端必须持续测量已知的温度。讽刺的是,在冷 端需要另一个温度传感器来测量温度, AD8494 这样的器件正好 能够完全解决这个问题。热电偶本身的体积很小,所以热质很低,能够快速响应温度变化。
RTDs
行业广泛使用电阻温度检测器(RTD)来测量中温(<500°C)。这些器件由一种电阻会随温度的变化呈正变化的金属元素组成,最常见的是铂(Pt)。事实上,PT100传感器是行业中使用最广泛的RTD,因使用材料铂制成,且在0°C时电阻为100 Ω而得名。虽然这些器件无法测量热电偶那样的高温,但它们具有高线性度,且重复性较好。PT100需要精确的驱动电流,从而在传感器上产生一个与温度成比例的准确的压降。PT100连接线的电阻导致传感器的电阻测量出现误差,所以开尔文连接是最典型的传感器使用方法,因此出现3线或4线传感器。
如果需要低成本的解决方案,且温度范围较低,那么使用热敏电阻通常就足够了。这些器件线性化程度很低,具有斯坦哈特 哈特方程的特征,电阻随温度升高而减小。热敏电阻的优点 是,电阻会在小幅温度变化下呈现大幅变化,所以,尽管它具 有非线性,但仍然可以达到很高的精度。热敏电阻还提供快速 的热响应。单个热敏电阻的非线性是明确定义的,所以可以使 用LTC2986这类的组件来进行校准。
二极管随处可见,但(V be )压降至吸电流并非如此...
为了测试这个新家电的准确性,最终我选择使用硅芯片温度传感器。它们到手即用,无需冷端温度补偿或线性化,可以提 供模拟和数字输出,且预先经过校准。但是,直到最近,它们都只能提供中等准确性。虽然足以指示电子设备的健康状态, 但它们一直不够精准,无法测量(例如)体温,体温测量通常需要达到±0.1°C的精度(根据ASTM E1112标准)。但是最近发布的 ADT7422 和ADT7320硅芯片温度传感器改变了这一状况,它们的测量分辨率分别为±0.1°C和±0.2°C。
硅芯片温度传感器利用晶体管的V be 的温度依赖性,根据莫尔方程,约为:

其中I c 为集电极电流,I s 为晶体管的反向饱和电流,q为电子上的电荷(1.602 × 10 –19 库仑),k为玻尔兹曼常数(1.38 × 10 –23 ),T为绝对温度。
方程1中集电极电流的表达式也适用于二极管中的电流,那么为什么每个应用电路都使用晶体管而不是二极管呢?事实上,二极管中的电流还包括电子通过pn结的耗尽区与空穴重新结合所产生的复合电流,这表明二极管电流与V be 和温度具有非线性关系。这种电流也出现在双极晶体管中,但流入晶体管的基极,不会出现在集电极电流中,因此非线性程度要低得多。
整合上述因素可以得出

与I c 相比,I s 很小,所以我们可以忽略方程2中的1项。我们现在可以看到,V be 根据I c 中的对数变化呈线性变化。我们也可以看到,如果I c 和I s 是常数,那么V be随温度呈线性变化,因为k和q也是常数。在晶体管中施加恒定的集电极电流,并测量V be 如何随温度变化,这项任务很简单。
I s 与晶体管的几何形状有关,并且对温度有很强的依赖性。和许多硅芯片器件一样,温度每上升10°C,其值就会翻倍。虽然ln函数降低了电流变化的影响,但仍然存在V be 的绝对值随晶体管的 变化而变化的问题,因此需要校准。所以,实际的硅芯片温度传感器使用两个完全相同的晶体管,迫使1 I c 集电极电流进入一个晶体管,10 I c 进入另一个。我们能在集成电路中轻松生成完全 相同的晶体管和精准的比率电流,所以大多数硅芯片传感器都使用这种结构。电流的对数变化会引起V be 出现线性变化,然后测量V be 的差值。
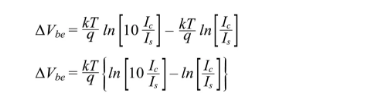
由方程2可知,对于温度相同的两个晶体管,其V be 的差值为

这是因为

我们可以看出

通过使不同的电流通过每个晶体管并测量V be 的差值,我们消除了非线性I s 项、不同的V be 的影响,以及与晶体管的几何形状相关的所有其他非线性效应。因为k、q和ln10都是常数,所以V be 的变化与绝对温度(PTAT)成正比。当电流差为10倍时,两个V be 的电流差在大约198 μV/°C时随温度呈线性变化。参见图1查看实现这一效果的简单电路。

图1. 测量温度的基本电路。
必须慎重选择图1中的电流。如果电流过高,在晶体管的整个内部电阻范围内,会出现很高的自发热和压降,从而影响测量结果。如果电流过低,晶体管内部的漏电流会增大误差。
还应注意的是,前面的方程都与晶体管的集电极电流有关,而在图1中,晶体管中注入的是恒定的发射极电流。在设计晶体管时,可以明确确定集电极和发射极电流之间的比例(且接近整数),这样集电极电流与发射极电流成比例。
这还只是开始。要使硅芯片温度传感器达到±0.1°C的精度,还需要大量的表征和微调。
是一只鸟?还是一架飞机?
不,这是一个超级温度计。是的,它们确实存在。需要将未校准的硅芯片温度传感器放入装满硅油的浴缸中,准确加热到 所需的温度,然后使用超级温度计进行测量。这些器件的测量精度可以精确到超过小数点后五位。将传感器内部的保险丝熔 断,以调整温度传感器的增益,从而利用方程y = mx + c将其输出线性化。硅油提供非常均匀的温度,因此可以在一个周期内校准许多器件。
ADT7422在25°C至50°C温度范围内的精度为±0.1°C。这个温度范围以典型的38°C体温为中心,使得ADT7422非常适合用于精准监测生命体征。在工业应用中使用时,我们对ADT7320进行了调整,使其精度达到±0.2°C,但温度范围扩大到-10°C到+85°C。

图2. 安装在0.8 mm厚的PCB上的ADT7422。
但是,硅芯片温度传感器的校准并不是唯一的问题。采用极其精确的基准电压时,裸片上的压力会破坏传感器的精度,以及PCB的热膨胀、引线框架、模塑和裸露焊盘,所有这些都需要考虑。焊接工艺本身也有问题。焊料回流工艺会使零件的温度提高到260°C,导致塑料封装软化,裸片的引线框架变形,这样当零件冷却,塑料变硬时,机械应力会被封存在裸片中。ADI公司的工程师花了好几个月的时间进行细致的实验,最终发现0.8 mm的PCB厚度最为合适,即使在焊接之后,也可以达到±0.1°C的精度。
那么香肠的温度到底有多低?
我将ADT7320连接到一个微控制器和一个LCD显示器上,并编写了几百行C语言代码来初始化传感器和提取数据——可以通过在DIN引脚上连续写入32个1s来轻松初始化这个部分。配置寄存器被设置为使ADT7320以16位精度连续转换。从ADT7320上读取数据之后,至少需要等待240 ms的延迟之后,才会发生下一次转换。为了便于使用非常低端的微控制器,所以我手动编写了SPI。我将ADT7320放在冰箱里大约30分钟,以获取新冰箱的准确温度。图3显示冰箱的温度为–18.83°C。

图3. 冰箱的温度为–18.83°C。
这种精度给我留下了非常深刻的印象,虽然存储食品并不需要达到这种温度精度等级。然后,在英国夏季的某一天,我测量了办公室内的温度。如图4所示,温度为22.87°C。

图4. 办公室的温度为22.87°C。
结论
硅芯片温度传感器已取得长足进步,变得非常精确,能够实现非常高的生命体征监测精度。虽然它们内部的技术都是基于成熟的原理,但要使它们达到亚度精度水平,还是需要付出巨大的努力。即使达到了这种精度水平,机械应力和焊接也很容易抹掉数小时校准所取得的成果。
ADT7320和ADT7422代表了多年来达到亚度级精度温度表征的技术顶峰,即使是在焊接到PCB上之后。
ADT7422
●焊接到 PCB 上后,精度符合 ASTM E1112 的临床温度测定规范
●3.0 V 下 25°C 至 50°C 时为 ±0.1°C
●2.7 V to 3.3 V 下 −20°C 至 +105°C 时为 ±0.25°C
●超低温度漂移:0.0073°C
●美国国家标准技术研究所 (NIST) 可追溯或等效
●上电时 6 ms 的快速首次温度转换
●简单的实现方式
●不需要温度校准或校正
●不需要线性度校正
●低功耗
●在 1 SPS 模式下 3.0 V 时为 140 μW(典型值)
●在关断模式下 3.0 V 时为 6 μW(典型值)
●可编程中断
●关键过温中断
●过温和欠温中断
●I2C 兼容接口
●符合 RoHS 标准的 16 引脚 4 mm × 4 mm LFCSP 封装
(来源:亚德诺半导体)
免责声明:本文为转载文章,转载此文目的在于传递更多信息,版权归原作者所有。本文所用视频、图片、文字如涉及作品版权问题,请电话或者邮箱联系小编进行侵删。
推荐阅读:
IC集成能让相控阵技术发展到什么地步?
电源滤波器的组成及衡量参数
D类放大器的缺点是噪音大,应如何降噪?
2.5GHz功率放大器SE7262L的功能特点及应用分析
放大器开环增益参数仿真与影响,我猜你不舍得错过
