几种低通可调滤波器对比分析
品慧电子讯以下分别详细地为大家介绍二阶压控低通滤波器、单位增益二阶压控低通滤波器、二阶低通滤波器的对比分析。
1 二阶压控低通滤波器
二阶压控低通滤波器电路如图所示,由R1、C1 及R2、C2 分别构成两个一阶低通滤波器,但C1 接输出端,引入电压正反馈,形成压控滤波器。

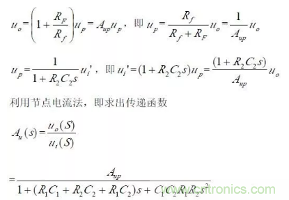
(1) 传递函数

(2) 频率特性

可见该低通滤波器特点是阻尼系数ζ 由电阻R1、R2,C1、C2 的比决定;而固有频率ω0与R1、R2、C1、C2 具体数值有关,即ω0与ζ 独立可调,互不影响。
(3) 参数选择
为方便参数匹配,考虑到标称电容种类较少,一般选择C1=C2=C。通过选择不同的R1、R2 满足特定的固有频率ω0 、ζ 。


2单位增益二阶压控低通滤波器
对于二阶压控低通滤波器来说,当通带放大倍数Aup =1(单位增益)时,图所示电路变为图所示,其中RF=R1+R2。

(1) 基本关系


(4) 参数选择
在固有频率ω0 、阻尼系数ζ 已知情况下,设计步骤如下:

3二阶低通滤波器

(1) 传递函数

(2) 频率特性

4无限增益多路反馈低通滤波器

(1) 传递函数

(2) 频率特性

